projects: nfs-perf: jnewsome: iozone: 3/26/01
Notes
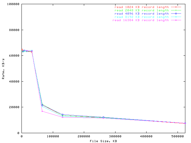
Client:
The client was a 400 MHz k6-2 with 128 MB of RAM, running linux 2.4.2.
Server:
The
server
was a 4 x 550 MHz system with 512 MB of RAM, running linux 2.4.2.
Connection:
100 Mb ethernet
Graphs
Raw Data
result 1
result 2
projects
|
techreports
|
press
|
lab
|
location
|
staff
or call +1 734 763 2929
Copyright © 1996-2013
The Regents of the University of Michigan